Wireless Communications (Andrea Goldsmith)学习笔记。
Diversity
在“衰落信道中数字带通传输系统的性能分析”中,我们注意到瑞利衰落(多径衰落)和对数正态分布(阴影衰落)会对数字带通传输系统造成很大的影响,减轻衰落的最有力的方法就是分集-合并(diversity-combining)技术。
- 理论依据:
- 分:独立信号路径经由很小概率会同一时刻经历深衰落(deep fades)
- 集:经过合并接收信号的衰落就会很小。例如选择信号最强的那根天线就是selection combining
- 微分集(microdiversity):减弱多径衰落(multipath)影响
- 宏分集(macrodiversity):减弱来自建筑、物体的阴影衰落(shadowing)
- 做法:combining signals received by several base stations or access points
独立衰落信道(Independent Fading Paths)
- space diversity(空间分集):
- 单侧阵列天线(antenna array)——多发射天线或多接收天线
- 不增加发射功率或带宽
- 阵列增益:相干合并可以提高信噪比,降低检测因子的要求
- 空间分集还需要有足够大的天线间距以保证衰落幅度近似独立
- 对于全向天线,衰落独立需要半波长
- 对于方向性天线需要更大的天线间距
- polarization diversity(极化分集):
- 两接收天线或两发射天线(水平极化和垂直极化)
- 极化分集最有只有两个分集分支
- 极化分集有3 dB的功率损耗
- 方向性天线(Directional antennas):
- 对于方向性天线,波束对准某一角度
- 要求有足够多天线以覆盖到所有可能的来波方向,或者一个天线恰好对准来波方向。
- 当未对准时,信噪比将会降低
- Frequency diversity(频率分集):通过不同载波频率传输同一窄带信号。需要额外的发射功率
- Time diversity(时间分集):在不同时间传输同一信号。时间差要大于信道相干时间。
接收机分集(Receiver Diversity)
在接收机分集中,多个接收天线的独立衰落路径被结合起来,得到一个结果信号,然后通过一个标准解调器。

-
combiner的输出时不同衰落路径(分支)的加权求和,一般是线性的。
-
co-phaseing(共相位):当合并超过一条支路是需要co-phaseing,加权时乘来消除相位,确保实现相干合并。一般采用先检测后合并的相干合并策略,这样可以确定合适的。
-
分集的目的:对独立衰落信道相干合并,以减弱衰落的影响。
-
阵列增益(array gain):对多路信号的相干合并(不必在衰落条件下)。
对于MRC(最大比合并):
相比于未合并提高了M倍。
其实这边的概念可以用《雷达原理与系统》中的相干积累来理解,也是比较类似的。
![相干积累]()
只需要相干积累前的,即在相同检测条件下,相干积累增加了SNR,就可以减小对于单个脉冲串的SNR要求。对于同样作用距离,雷达可以减小发射峰值功率。
同理对于无线通信系统来说,这里的相干合并提高了总体的信噪比,也就降低了对于每一分支SNR要求有,但是在这里我们不是为了降低发射功率,而是为了减小衰落带来的影响。
在雷达中还有一种非相干积累,即视频积累。他在检波后进行积累就不需要相干载波,但是非相干对于无线通信来说是不可能的,因为非相干合并并没有消除相位的影响,也就没有不能消除衰落的影响。
- 所有分集合并都有阵列增益,MRC的阵列增益最大
-
分集增益(diversity gain):分集带来了更好的分布,从而降低了平均误码率和中断率。
- 分集阶数(diversity order):误码率表示为中的,取决于具体调制方式。The diversity order indicates how the slope of the average probability of error as a function of average SNR changes with diversity.
- The maximum diversity order of a system with antennas is , and when the diversity order equalsM the system is said to achieve full diversity order.
SC(选择合并)
-
选择合并(selection combining,SC):合并器在具有最高信噪比的分支上输出信号。
-
特点:
- 如果所有分支上的噪声功率相同,这就相当于选择具有最高的分支。
- 只需要一个接收机,时分复用
- 不需要co-phasing,可以应用于相干解调和差分解调
-
i.i.d Rayleigh衰落合并输出的平均信噪比:
- 平均信噪比增益随增加而增加,但非线性。
- 随着的进一步增大,阵列增益趋于0.
-
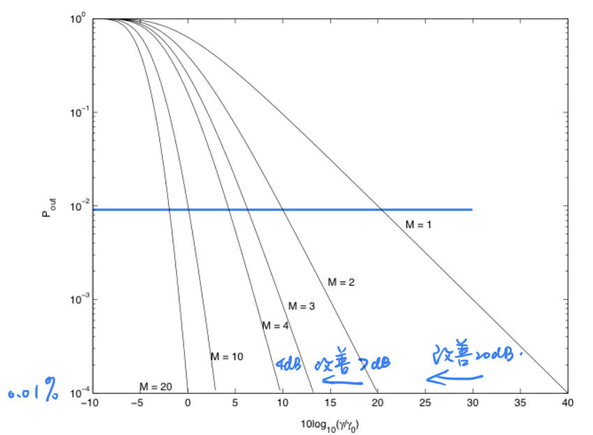
性能分析
-
给定中断率时检测因子(单支路接收信噪比)的改善(设所有支路信噪比一致)
![SC]()
-
给定平均误比特率时的检测因子(一般无闭式解)
![SC_Pb]()
由于组合器的阵列增益,的分集系统的误比特率低于相同信噪比的AWGN信道。
-
Threshold Combining(门限合并)和SSC
- 门限合并(Threshold Combining):合并器按顺序扫描每个分支,输出信噪比高于给定阈值的第一个信号。
- SSC(切停合并,switch and stay combining):在只有两个分支的情况下,相当于在活动分支的信噪比低于时切换到另一个分支。性能介于无分集和SC之间。
- 性能分析:
- 在任意衰落分布下,对于最佳门限的SSC和SC有相同的中断率。
- 采用SSC的相干解调,平均误比特率一般没有闭式解
MRC(最大比合并)
-
最大比合并(Maximal Ratio Combining,MRC):合并器输出各分支信号的加权求和。
-
合并输出信噪比:
最佳加权值为,合并输出信噪比为
可见,合并输出的平均信噪比随分集分支增加而线性增加。
-
性能分析
-
中断率:
-
平均误码率可由合并输出信噪比的分布求得:
-
-
MRC的性能远好于SC
-
用MGF求MRC分集的平均误码率
-
平均误码率通式:
用MGF表示
适用于任意分集分支和任意支路衰落分布
-
具体调制与衰落分布的平均误码率这里不抄了
-
-
分布相同,高信噪比时的平均误码率
分集阶数为M,为满分集阶数
EGC(等增益合并)
-
等增益合并(Equal-Gain Combining,EGC):以相同权重对所有分支加权求和。
基本上就是相干解调的意思了。
-
合并输出信噪比
-
性能分析:
-
中断率:
-
平均误码率可由输出信噪比的分布求得
-
-
EGC的性能非常接近MRC,功率损耗不超过1 dB,但是复杂度更低。
-
用MGF求EGC分集的平均误码率
- MGFs are less useful in the analysis of EGC and SC than in MRC.
- working with the MGF of can sometimes lead to simpler results than working directly with its pdf. 比如将变为就将MGF变为特征函数,可以求得EGC分集MPSK的误码率的精确式。
发射机分集(Transmitter Diversity)
发射机分集一般被用在有充足的空间、功率和处理能力的地方。假设CSIR(Receiver CSI)讨论接收机是否知道CSI。
CSIR和CSIT
-
CSIT:发射机已知第根天线上的路径增益
-
最大化接收信噪比
此时的加权值
当CSIT,发射机分集与MRC分集类似。接受信噪比为各支路信噪比之和
-
分布相同,高信噪比时的平均误码率
分集阶数为M,为满分集阶数
-
发射机分集的问题:发射机获取信道相位和幅度信息
- 导频(pilot technique)
- 利用时分(time-division)的互易性(reciprocal)
仅CSIR——The Alamouti Scheme
该方案在两个符号周期内工作,假定信道增益在这段时间内是不变的。在第一个码元间隔,两个不同的码元和分别从天线1和2同时传输,每个码元的能量为。在下一个码元间隔,符号从天线1发射,符号从天线2发射,每个码元能量为$ \frac{E_s}{2}$。
接收信号
接收信噪比
分集阶数为2,但阵列增益只有1.
这章内容和《雷达原理与系统》里面的雷达信号检测部分有异曲同工之妙,但是雷达往往发射重频信号,可以采用积累的方法来降低降低因子。而在无线通信中,我们不太可能反反复复发射一样的信号,所以就采用分集-合并的方式来降低对于检测因子的要求。但是有一些思路是一致的。
参考文献
- ANDREA GOLDSMITH.WIRELESS COMMUNICATIONS.2005.
- (美)Andrea Goldsmith著;杨鸿文,李卫东,郭文彬等译. 无线通信. 北京:人民邮电出版社, 2007.06.


